Sharing how we can communicate our science effectively, whether in posters, papers or on social media!
Share
SciCom – How to Know Where to Publish?
Published 2 days ago • 6 min read
What Makes a Journal?
Hi Reader, how many active, peer-reviewed academic journals exist today?
There are 40,000! And are you interested in how many papers they publish every day?
So, how can you know which journal to publish in?
Today, we will discuss five key features of journals to help you differentiate them:
What Differentiates Journals
With so many journals available, it is easy to think that they differ only by name or impact factor.
Click to enlarge. Please take these numbers with a grain of salt as there is suprisingly little information on the number of journals available. However, based on analyses by ScienceOpen.com and WordsRated.com, we see the rapid growth of journals available today. Even if nowadays only about 1000 journals are added each year, that still translates to several new ones relevant to you (in theory).
However, this can be a drastic mistake that may hurt your career and the work you aim to publish.
The following factors are not exhaustive, but I consider them the most essential and decisive when evaluating journals you might publish in.
1. Focus
Obviously, different journals vary in the kind of work they publish.
First, they differ by topic -i.e., do they publish research in biochemistry or molecular medicine?
Every journal has an Aims & Scope page that informs readers about which topics and article formats fall within its interests as you can see here for IUBMB Life. In fact, the COPE Principles of Transparency and Best Practice in Scholarly Publishing require journals to clearly present this information. If they do not, they are likely fraudulent attempts to capture your manuscript.
Generally, we see two trends: journals with a broad scope and journals with a more focused range of topics.
Of course, the transition is seamless, partly because there are journals such as BioFactors that focus on a class of molecules rather than a specific field.
Journals like Nature or Science publish a rather broad variety of scientific content. However, there is a spectrum of breadth, extending down to highly focused journals such as Bloodor Stem Cell Reports, which publish on clearly defined topics. Additionally, journals like Nature or Science clearly prefer the use of multiple independent lines of evidence, the combination of different experimental systems or techniques, and clear conceptual advances. However, even among high-profile journals there are stylistic differences. For instance, papers in Cell often present a more extensive mechanistic narrative, while Nature at times puts more emphasis on interesting narratives with conceptual breakthroughs.
What many aren't aware of: Beyond the topic they focus on, there are also differences in the types of articles that are published.
Most journals publish original research as well as reviews, but some journals also allow additional formats such as opinion pieces.
You should also be aware that there are journals that publish almost exclusively reviews, such as Molecular Aspects of Medicine.
2. Impact
Journals differ vastly in their reach, discoverability, and therefore, “impact”.
As we discussed previously, there are several metrics available, with the journal impact factor being the most widely known.
Read more about the opinion of a Nature editor on the validity of the impact factor for estimating the impact of journals here.
In other words, these metrics tell you how often papers published in these journals are cited on average and therefore, by extension, how eagerly people pay attention to work published there.
What many aren't aware of: Not all journals have their papers indexed in the same databases.
Sometimes, this information can be hard to find. IUBMB Life made it fairly easy for me. Of course, many of these names are unknown to us scientists, but they matter for metrics and search engines.
For highly prestigious journals this is not an issue, but for others it can become a major limitation.
All in all, journals vary, through their metrics, in how far we consider them prestigious and trustworthy.
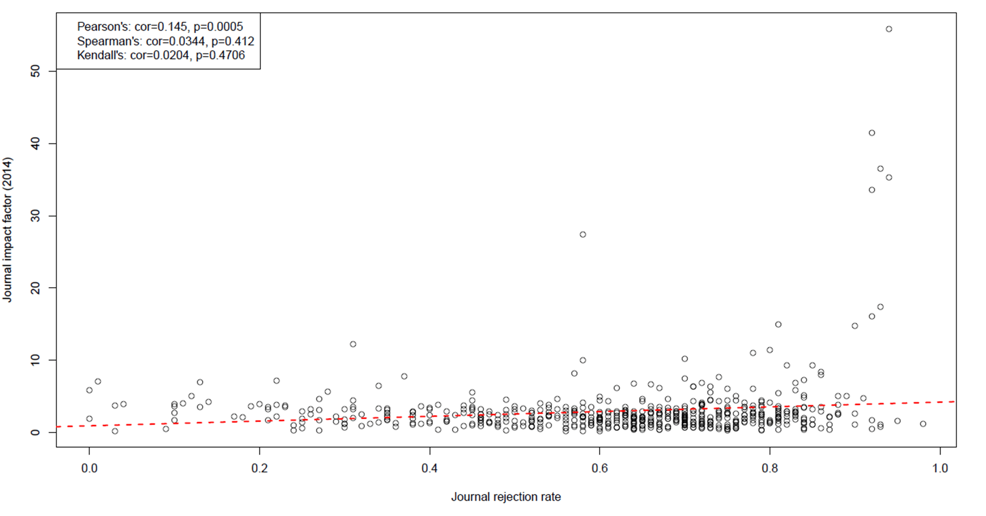
3. Thoroughness & Rigor
Journals vary strongly in how thoroughly they review, filter, and edit the science published there for robustness and validity.
Think of factors such as selecting and coordinating peer reviewers, suggesting additional experiments, requesting revisions to figures or wording, and ultimately determining the likelihood of acceptance.
Among available metrics, we find the rejection rate, or selectivity, of a journal:
This is a graphic from another ScienceOpen.com post. Interestingly, rejection rates do not vary as strongly as one might think. While I don’t agree with the opinion of the post, we can certainly say that rejection rates do signal rigor, in contrast to predatory publishers. However, one must also consider that the average quality of research submitted to lower-impact journals is, on average, lower than that submitted to highly renowned journals, making rejections for those often more straightforward.
Some have a very thorough process, while others publish almost any submitted manuscript.
Another important metric in our fast-paced environment is the “time to …”, i.e., the time to first decision, the time to acceptance, and the time to publication.
Judging the speed of a journal can be challenging. Generally, faster times are preferable, but extremely rapid timelines submission to acceptance may sometimes indicate insufficient peer review or shortcuts in best practices, such as the overuse of AI in the review process.
What many don't consider: Often overlooked are the differences between journals with respect to their internal infrastructure and the author experience.
On the one hand, we should mention author assistance, i.e., support with figure design or improving the writing style of the manuscript.
On the other hand, this also includes the clarity of editorial communication, formatting requirements, and the quality of the submission system.
In summary, the quality of the editorial board is essential to the quality of the work published, while the other factors can make the publishing experience extremely frustrating and contribute to painful delays.
4. Business Model and Priorities
Here, we should mention copyright and author rights.
In recent years, it has become increasingly important to consider whether authors are allowed to share their work on preprint servers or platforms such as ResearchGate.
This graphic stems from Avissar-Whiting et al., quantifying the number of preprints published every month.
Secondly, some journals, such as Nature, offer extensive support, for example, in figure design, even employing dedicated teams that turn rough drafts from scientists into polished schematics to enhance understandability and maintain their corporate design.
Thirdly, we might think about innovativeness.
Some journals are moving more quickly and boldly toward practices such as open peer review or open data deposition. Other developments are more difficult to evaluate, such as the payment of peer reviewers.
Since 2023, eLife has replaced the traditional accept–reject decision with a model in which manuscripts are published as “reviewed preprints” with public peer reviews and editorial assessments - leading Clarivate to withdraw its Impact Factor. In contrast, eLife received the OpenAthens UX Award, which recognizes publishers and scholarly content providers that deliver outstanding user experiences for accessing research and academic resources. Overall, eLife has been comparatively innovative and transparent, even sharing information about its expenses publicly.
All in all, the key question here is whether you care about what kind of system you are contributing to through your submission choices.
What many don't know: Another distinction regarding business models is between nonprofit journals and commercial publishers.
Nonprofit journals typically reinvest most of their profits into the scientific community, for example through scholarships, workshops, or conferences, whereas commercial publishers generally aim to maximize profits for shareholders.
5. Processing Charges
Lastly, I want to mention financial aspects.
With the advent of open-access publishing, article processing charges (APCs) entered the stage.
Now, individual research groups often have to pay if they want to publish open access.
A few decades ago, this was mainly an issue for libraries, which had to decide whether to subscribe to a journal - both to make the work published there available to their scientists and to allow their researchers to publish in it. Today, there are several ways in which APCs can be covered. For more, see an article by Daniel Roelfs.
That means we see differences in the publishing model itself.
For example whether open-access publishing is an option, which type of open access is available (e.g., gold open access, green open access), or whether journals employ newer models such as Subscribe-to-Open (S2O).
If APCs apply, it is important to assess how high they are, as these fees can in some cases become a bottleneck.
A Personal Remark
Many of these factors tend to correlate.
In other words, the approach of a particular journal often determines many of the choices such as their approach to marketing, author support, or peer-review.
However, there is no universally “better” option.
The topic is complex - as we discussed, if journals do not list their publications in major indices, retractions are not measured either. Indexing means that a journal’s articles are included in searchable academic databases, allowing researchers and algorithms to discover, cite, and count. Second, a high impact factor, as shown by Alex Etz (and others), often also means relatively higher retraction rates.
A high impact factor may be advantageous in terms of reputation, but journals with lower impact factors may still reach a very relevant audience but enable quicker and more compact communications.
The most important takeaway:
Rather than relying on hearsay or common publishing habits, carefully evaluate what a journal truly stands for and invests in.
How We Feel Today
PS: Yes, we are missing some other kinds of journals here...
Discussing Publication Metrics Hi Reader, I am sure you are aware of the rising pressure to publish papers. An inappropriate use of metrics used to assess publishing success might contribute to a misguided focus within the scientific community. Let’s discuss some important nuances of the metrics we introduced last time to help you develop your own perspective. Let's get started because there are many angles we have to cover: Do Publication Metrics Make Sense? There is no final answer to that...
Essential Publication Metrics Hi Reader, we commonly communicate our science by publishing it. But to know where to publish, we often look at the impact factor of a journal. Also, whether you get a good postdoc position or become a professor partially depends on your publication record or h-index. Still, what are these metrics, and what do they measure? How Do We Measure Reach? In the past few years, publication pressure has significantly shaped science. Nature & IUBMB Life: Publishers like...
Shortcuts & Designing Yourself Hi Reader, is there a shortcut to designing scientific graphics? Being creative like the creators of these posters is one. But let’s be honest: creating good visuals can be time-consuming and difficult. However, scientists are sometimes asked to design journal covers, graphical abstracts, or summary graphics for broad communication. So, let’s discuss what could make your life easier: It's Your Decision No matter the path you decide on, the responsibility will...